The Fire in Cameroon Pepper

Travel to the Depth of Science to Explore the Chemical Compound that adds Heat to Your Food 

Spices contain chemical compounds that add flavors to food. These flavors are what make us crave and enjoy our favorite dishes. Spices enhance the natural flavors and add new flavors and aromas to the palate. So what is the palate? The National Cancer Institute defines the palate as “The roof of the mouth. The front portion is bony (hard palate), and the back portion is muscular (soft palate).”  The hard palate provides space for the tongue to move freely and supplies a rigid floor to the nasal cavity while the soft palate is to aid speech, swallowing, and breathing. In the culinary world, the palate assumes an additional definition. It is referred to as the Sense of Taste; that is, to taste the different flavors that are present in foods and wines. 

The Anatomy of the Oral Cavity

Source: National Cancer Institute

 A person’s palate and it’s association with flavors becomes well developed over time through the consumption of indigenous foods and through self mastery. How well do you know your flavor palate?. For those with a well developed palates, sit back and relax. For you and I who are still to identify and develop our palates let’s engage in this exercise. 

  1. List three of your favorite dishes.

  2. List the ingredients for each dish.

  3. Match the ingredients to the Traditional Mead Aroma Wheel.

Are you able to identify your flavor palate? I identified my flavor palate as Spices. In the book “The Science of Spice: Understand Flavor Connections and Revolutionize Your Cooking” the author Dr. Stuart Farrimond listed the top three flavors associated with Central African Foods. These flavors are Nutty, Pungent and Local which he called the Central Africa Spice Palette. On the Traditional Mead Aroma Wheel, spices is divided into two categories, baking spices and pepper. When I matched my flavor palate to the flavor wheel, I can directly link its strong association to most Cameroonian dishes cooked with indigenous spices with a lot of pepper. For this blog, I will focus on the pepper because, it is one of Cameroon’s signature spice that is a part of the country’s food culture.

Source:  A Mead Aroma Wheel and Lexicon Kay Senn, Annegret Cantu, Amina Harris, Hildegarde Heymann. Catalyst: Discovery into Practice November 2020 4 (2): 91-97; published ahead of print August 28, 2020; DOI: 10.5344/catalyst.2020.20005

Why is Pepper a very Special Spice to Cameroonians?

Cameroon has as branded herself in the culinary sector as having the most culinary varieties in the continent of Africa. One of her branded products in the culinary space is her CAMEROON PEPPER. Cameroonians love hot pepper in their food. Most Cameroonian homes have hot pepper sauce in the refrigerators. Street food vendors serve hot pepper sauce with grilled and fried foods such as fish, chicken, meat, puff puff, accra banana, accra beans and more. Pepper sauce is a symbolic item on the menu and it must be present on the food table in Cameroonian parties to add a cultural culinary identity to the food and to give the guests an utmost satisfaction. When pepper sauce is not present at a Cameroonian party, guests become agitated and make statements such as (how pepper no go manage dey for occasion this one na party? - Cameroon Pidgin) meaning, (Without pepper sauce a person cannot call this gathering a party).

CAMEROON PEPPER SAUCE

Cameroon pepper is produced in Cameroon and exported from Cameroon to other countries in the world. In the USA where I currently reside, Cameroon Pepper is a reference pepper in the African community. Cameroon pepper has a pungent aroma which triggers the nostrils and causes a person to sneeze. It also has a hot and firing sensation in the mouth that makes a person to perspire from the heat.

What Specie of the Pepper Plant is Cameroon Pepper?

The biological specie of the pepper plan that produces Cameroon Pepper is called Capsicum Chinese commonly known as habanero pepper.

Green Pepper - Unripe

Red Pepper - Ripe

Yellow Pepper - Ripe

Orange Pepper - Ripe

Let’s Find Out The Chemical Compound That Flames the Fire in Cameroon Pepper

The chemical compound that flames the heat in Cameroon Pepper is called capsaicin. Capsaicin is found in the pith or placenta of the pepper fruit. When a person eats pepper, capsaicin create a burning sensation in the mouth. This burning sensation is transmitted by the nerves as a warning signal to the brains. The brain then detects a body temperature of above 100 degrees Fahrenheit. The level of the heat depends on the concentration the capsaicin in the pepper fruit. This explains why there are options to select a mild or spice source at a restaurant or at the grocery store.

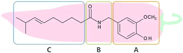
Chemical structure of capsaicin, the primary ingredient of chili pepper, and its three important regions, namely A (aromatic head), B (amide linkage) and C (hydrophobic tail) depicted in different colored boxes.

Source: Basith S, Cui M, Hong S, Choi S. Harnessing the Therapeutic Potential of Capsaicin and Its Analogues in Pain and Other Diseases. Molecules. 2016 Jul 23;21(8):966. doi: 10.3390/molecules21080966. PMID: 27455231; PMCID: PMC6272969.

“When a person eats a hot pepper, capsaicin molecules binds to pain receptors present on the surface of the tongue. These receptors send a signal to the brain that tells the person that the pepper is hot. This signal is relayed by successive neurons, each releasing brain chemicals that give that “hot’ sensation. (Inset) When capsaicin binds to a nerve cell in the tongue, calcium ions flood inside the nerve cell, which causes it to release brain chemicals that lead to the activation of other nerve cells and ultimately to the brain signal that tells the person “It’s hot!” Brian Rohrig

Source: chemmatters | DECEMBER 2013/JANUARY 2014 7

Cameroon Pepper from the far Northern Region of Cameroon. The concentration of capsaicin doubles when the pepper is dried.

Measuring The Heat in Cameroon Pepper

Scoville Scale for Cameroon Habanero Pepper is Extreme

Scoville Scale for Cameroon Habanero Pepper is Extreme

How to Control the Heat from the Fire in Cameroon Pepper

Here are some of the ways by which you can control the level of heat in Cameroon pepper.

  1. Remove the inner pith or placental to reduce the heat before drying or adding it to food when cooking.

  2. After consuming food with a lot of pepper, eat foods such as ice cream, milk, sugar, honey, bread, and carbohydrates to reduce the heat intensity from the capsaicin.

  3. Avoid drinking water. Since capsaicin is a lipid molecule, drinking water will spread the capsaicin molecule all over your mouth.

Previous
Previous

Deux Oeufs Spaghetti-Two Eggs Spaghetti

Next
Next

Know Thy Cocoyams